新疆河南封头是锅炉等压力容器的一个部件,也应用在管道封堵方面,新乡市中鑫新疆封头生产的封头有不锈钢、碳钢、钛、铝材质等多种材质的新疆椭圆封头、新疆锥形封头、新疆球形封头、新疆半球型封头等等。
河南封头标准——压力容器封头:
GB/T25198-2010 GB/T12459-2005 GB/T13401-2005 SH3408-1996 SH3409-1996 D-GD87-0607 DL/T695-1999
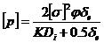
河南封头之新疆椭圆封头:组成部分:半椭球和高度为H的短圆筒,大工作压力计算方法如下:
椭圆封头应用:1.作为管道末端封口使用;2.作为压力容器罐子用。
河南封头之新疆半球形封头——组成部分:半个球壳,应用介质:液体、气体以及气液混合蒸汽等。
河南封头之新疆锥形封头——分为无折边和折边两种,应用:在航空航天以及医药化工、钢铁锅炉容器等行业都有应用。
河南新疆封头厂家——新乡市中鑫封头制造有限公司常年生产制造多种规格型号的封头,欢迎广大新老客户前来洽谈合作!
相关标签:
封头厂家,河南封头,河南封头厂家
时间:2021-11-13




相关新闻
相关产品
新疆不锈钢椭圆封头
新疆S30408椭圆封头
新疆碳钢椭圆封头
新疆Q345R碟型封头